甲胎蛋白(AFP)的結構功能、異質性及配體
甲胎蛋白(AFP)是胚胎血漿中的一種主要大型糖蛋白,屬于白蛋白樣蛋白家族,分子量約為68kDa,由包含590個氨基酸殘基的單多肽鏈組成。甲胎蛋白由卵黃囊和胎兒肝臟產生。在妊娠12周左右,卵黃囊退化,胎兒肝臟成為AFP合成的主要部位。該蛋白在胎兒體內的濃度很高(1-10mg/mL),但在出生后不久便急劇下降,到產后第二個月末,僅能檢出微量的AFP,幾乎完全被血清白蛋白所取代。妊娠期間甲胎蛋白含量的變化可用于胎兒異常的檢測,包括唐氏綜合征和神經管開放性缺陷,如脊柱裂。成人血漿中甲胎蛋白含量的顯著增加是肝細胞癌和卵黃囊瘤等幾種病理狀況發展的標志。
1.AFP的功能
AFP具有多種生物活性,主要包括細胞外轉運功能。它能與雌激素相互作用,對脂肪酸和膽紅素具有高親和力,并能有效結合Cu2+和Ni2+離子。此外,AFP還參與調節細胞增殖和代謝,與微噬細胞、T淋巴細胞相互作用,抑制母體對胚胎的免疫反應和患者對腫瘤的免疫反應。
2.AFP的結構
2.1AFP的分子形狀
從非晶體狀態下的原始空間結構來看,AFP分子成V型不對稱結構,含有三個不同的結構域。分子左下“臂”結構域之間存在多肽連接,這種多肽連接可能充當“鉸鏈”,允許結構域的靈活移動,并促進潛在配體的結合或釋放。

圖1.AFP的空間結構
注:電子顯微鏡分析人類AFP(A)和牛AFP(B)的空間結構。(C,D)為人和牛AFP的反質圖。
2.2AFP的結構域
AFP由3個結構域組成,分別為I、II和III,每個結構域由大約195個氨基酸殘基組成。AFP分子的末端部分(總共有420個氨基酸殘基)被折疊成穩定的獨立結構域,即N端結構域I和C端結構域III,而AFP的中心結構域(由170個氨基酸殘基組成的結構域II)具有高度的靈活性,容易被胃蛋白酶消化。研究表明,結構域III的氨基酸序列最保守,結構域I的氨基酸序列最不保守。
2.3AFP的分子結構
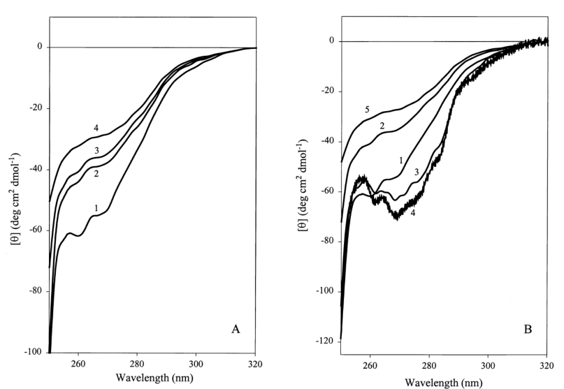
近紫外CD光譜強度反映了芳香氨基酸殘基結構中的不對稱程度,表征了蛋白質三級結構。紫外光譜強度的降低通常用于表征蛋白質變性過程中三級結構變化。天然AFP三級結構為相對剛性的不對稱結構。不同樣品中AFP的結構特性差異較大,降低pH值,加熱或加入尿素會導致AFP剛性三級結構變化,如pH3.0,或90℃,或9.5M尿素(圖2A);配體釋放也會引起AFP三級結構變化,且釋放天然配體后AFP三級結構幾乎沒有差異(圖2)。與三級結構不同,AFP二級結構幾乎不受配體含量、配體釋放、以及溶液酸化的影響。
差示掃描微量熱法(DSC)顯示,AFP變性是一個不可逆的過程,這可能是由于蛋白質變性過程中不可逆的配體釋放所致(圖3A曲線3)。配體組成的差異(由于分離程序的不同)可能會極大地影響蛋白質的量熱行為,不同樣品中AFP的穩定性和三級結構都存在配體驅動差異(圖3B)。不同純化程序導致配體釋放,AFP三級結構發生改變(圖3B),在某種程度上不同的天然配體含量,可能因分離程序不同而存在差異。蔗糖是AFP的天然配體之一,在蔗糖存在的情況下,熔化過程更為復雜(圖3C),這表明配體可能在AFP空間結構穩定中起著至關重要的作用。

圖2.AFP的近紫外CD光譜
注:(A)不同實驗條件下,金屬親和純化AFP的近紫外CD光譜,1、pH7.0、23℃;2、pH3.0, 23℃;3、pH7.0,90℃;4、pH7.0,尿素9.5M。(B)天然配體對甲胎蛋白剛性三級結構的影響。圖中為通過金屬親和(1)或不同的免疫親和方法(3和4)從人臍帶血清中分離出的蛋白的近紫外CD光譜。圖中也顯示了無配體(2)和完全未折疊蛋白(5)的光譜以供比較。

圖3.AFP偏摩爾熱容的溫度依賴性
注:(A)為不同實驗條件下金屬親和層析分離蛋白的量熱曲線:1、pH7.0;2、pH3.0;3、在pH7.0下對蛋白質進行重復溫度掃描的結果。(B)為用金屬親和法(1)或兩種不同的免疫親和法(3和4)從人臍帶血清中分離的AFP樣品測得的量熱曲線,也顯示了無配體形式的熔化(2)。(C)金屬親和純化的AFP在0.2%蔗糖存在下的熔化,虛線表示由量熱曲線分解引起的兩個簡單轉變。
2.4AFP的構象穩定性
眾所周知,盡管蛋白質具有廣泛的結構空間,但它具有嚴格的構象,在溶液中可以存在多種穩定的有序構象,在一定條件下,多肽鏈可以由有序構象變為無序構象,反之亦然。這種構象轉變是對外部條件(如溫度、pH值或溶劑組成)變化的反應。
對于AFP來說,即使是a.在pH4.5~10.5范圍內;b.尿素濃度低于7.5 M(pH7.5);c.鹽酸胍濃度低于2.0M(pH7.5)時,仍然具有較高的構象穩定性。AFP具有極高的構象穩定性很可能是由于大量的二硫鍵(15個),天然配體顯著增加了AFP的穩定性。
2.5AFP變性的不可逆性
研究中顯示,任何一種AFP變性(由pH值降低或溫度升高引起,或由尿素、GdmCl變性引起)都是不可逆的,這種不可逆性是由不可挽回的配體釋放引起的。無配體的AFP具有致密的二級結構,但沒有剛性三級結構。
造成AFP重折疊和配體釋放的不可逆性原因可能有兩種。第一種,形成結構的配體結合位點和碳水化合物(糖基化修飾)的附著位點,在空間上相對較近。在這種情況下,AFP的寡糖成分可能起到帽子的作用,調節配體進出蛋白質分子的運動(圖4A)。在天然狀態下,配體結合在AFP的疏水性口袋內,并且“門被糖部分鎖定”(圖4A-1)。在輕度變性條件下,配體可以很容易地從蛋白質上去除(圖4A-2)。當變性分子恢復到生理條件時,它開始折疊,碳水化合物與AFP的非共價相互作用篩選疏水口袋,阻止配體正常滲透到其結合位點(圖4A-3)。
第二種,AFP重折疊和配體釋放的不可逆性可能與非天然AFP分子的自結合有關(圖4B)。蛋白質重折疊常伴有部分折疊的中間體短暫結合。結合或聚集傾向是非天然蛋白質的一般性質,即使在天然狀態下,當濃度足夠高(0.5-1.0mg/mL)時,AFP也傾向于形成二聚體。因此,人們推測部分折疊的AFP分子自結合(甚至是簡單的二聚化,如圖4B所示)可以篩選配體結合位點,從而阻止配體與AFP的相互作用。目前,這兩種可能性還有待進一步研究。

圖4.AFP中疏水配體釋放不可逆性示意圖
注:(A)糖基化、(B)結合決定的不可逆性。
3.AFP的異質性
3.1AFP免疫化學異質性
研究發現AFP分子上有16個不同的表位,根據交叉反應性將這些表位分為5個免疫優勢簇(A-E)和7個單表位。AFP在D簇的可接近性上存在差異,具有開放性表位的AFP,D簇與相應的單克隆抗體反應;具有隱性表位的AFP,僅在部分變性后才能與單克隆抗體反應。已知106和108是隱性表位,隱藏表位D、106或108僅在部分AFP分子中表達,106、108和D簇表位的變化,被認為是AFP構象變化的標志。不同來源AFP中D、106表位表達差異很大。研究顯示,生殖細胞腫瘤患者的血清和肝細胞癌患者的血清中AFP傾向于D-和106-表位形式,羊水AFP傾向于D+和106+形式。
不同構象的AFP具有相同的分子質量和相互轉換的特征。蔗糖可以穩定AFP的天然狀態,將D+、106+和108+形式的AFP分子幾乎完全轉化為D-、106-和108-變體。在0.2%蔗糖條件下,D+和106+可以轉化為D-和106-。硝基纖維素或塑料吸收AFP,而D-在硝化纖維素上固定后可以轉化為D+,另外添加45%甲醇可增強表位D、106和108的表達。
3.2AFP電荷異質性
不同方法分離的AFP樣本通常在免疫上是均勻的,但總存在電荷非均質性。在pH值4.5-5.2范圍內,使用等電聚焦法則發現了9種AFP變體。從人羊水或臍帶血中分離出7種不同電荷形式的AFP,而從不同肝癌來源分離的AFP比從胎兒組織或羊水分離的AFP表現出更多的電荷異質性,此外,新鮮人類肝癌AFP樣品在儲存過程中電荷異質性會增加。
這導致電荷異質性的原因可能有三種:氨基酸序列的差異、糖基化或配體結合。同一物種AFP的電荷異質性與氨基酸組成的差異無關。蛋白質碳水化合物成分的差異只能解釋部分電荷差異,因為用神經氨酸酶處理AFP可以消除部分異質性,因此同一物種中AFP電荷異質性主要與配體結合有關。從人胎兒組織中分離的AFP含有兩種成分,其等電點分別為4.7和5.3。等電點的值取決于天然配體(脂肪酸)的含量,pI4.7的AFP結合脂肪酸,pI5.3成分未結合脂肪。通過去除脂肪酸,這些異質AFP分離物可以轉化為基本均勻的物質(pI為5.3)。在非變性條件下,制備的AFP存在多種組分,但在SDS凝膠電泳中AFP通常顯示為單帶。
4.AFP與配體
4.1AFP的配體運輸和釋放
AFP與細胞膜相互作用,由于局部pH值和有效介電常數的降低,細胞膜環境可能發生變性。這意味著當AFP與膜表面相互作用時,可能發生某些蛋白質的變性。這種由膜誘導的蛋白質轉化為熔融球狀狀態具有重要的功能,促進了跨膜蛋白質運輸和毒素滲透到細胞中。
熔融球狀中間態,是一種致密中間體,它們沒有剛性的三級結構,但具有類似原生的二級結構。剛性天然蛋白分子向熔融球體的結構轉變,可以增加靈活性,促進疏水配體的釋放。研究表明,與破壞AFP剛性三級結構的條件不同,要想AFP二級結構重排,致密性發生改變,需要更高濃度的有機溶劑(如甲醇、三氟乙醇)。
4.2配體對AFP結構的影響
配體在維持AFP的剛性空間結構中起著至關重要的作用。在無配體形式下,該蛋白呈現熔融的球狀構象,顯示出緊湊的天然二級結構與缺乏獨特的三維結構組合。熔融球態的模型是一種“半剛性”分子,它保留了天然折疊模式的主要特征,但具有更大的內部運動,包括許多內部側鏈的旋轉異構化。這些特性對于活細胞蛋白質在細胞質、細胞器或膜(疏水)環境中調整自身以適應不同的條件是很有利的。
4.3配體對AFP功能的影響
AFP的空間結構和穩定性對天然配體的存在高度敏感。如前所述,AFP至少有兩種功能,運輸和免疫調節。由于該蛋白具有嚴格的結構與功能關系,因此認為該蛋白的功能也可能受到配體的調節。關于AFP的主要配體仍有很大爭議,例如肝癌來源的AFP配體(一種特定脂肪酸)的類型和數量都有很大的變化。
配體釋放介導的AFP分子從天然狀態向熔融球狀狀態的不可逆構像轉變,可能代表了AFP從無活性形式到活性(免疫抑制)形式的轉變,這種轉變對免疫調節功能至關重要。
此外,AFP的體外免疫抑制特性差異很大,而這種變化并不是由糖基化程度引起的,因為同一來源的AFP變體碳水化合物含量沒有顯著差異。研究發現,低pH值或高離子強度可以影響AFP生物效力,純化過程可能會使AFP變性,發生不可逆構象轉變,影響其免疫調節活性。

圖5.AFP配體飽和形式轉化為無配體形式示意圖
注:圖5代表了AFP內吞作用和脂肪酸向靶細胞轉移的雙受體模型。該模型是基于不同細胞對AFP和脂肪酸(FA)攝取的大量研究提出的。根據該模型,細胞表面有兩種不同的受體(AFP-和FA-結合位點)。配體飽和的AFP與相應的受體結合產生內吞作用信號。另一方面,AFP與受體的相互作用使蛋白分子進入膜表面輕度變性環境,蛋白質的構象發生變化,伴隨AFP-FA復合物解離。隨后FA被轉移,與附近的FA受體結合。無配體的AFP可以與AFP受體分離,也可以通過內吞作用與脂肪酸一起轉移到細胞中。這種無配體的熔融球狀AFP可以作為免疫調節劑。
參考文獻
Gillespie JR, Uversky VN. Structure and function of alpha-fetoprotein: a biophysical overview. Biochim Biophys Acta[J]. 2000,1480(1-2):41-56.?
相關產品

蘇公網安備32011202001302